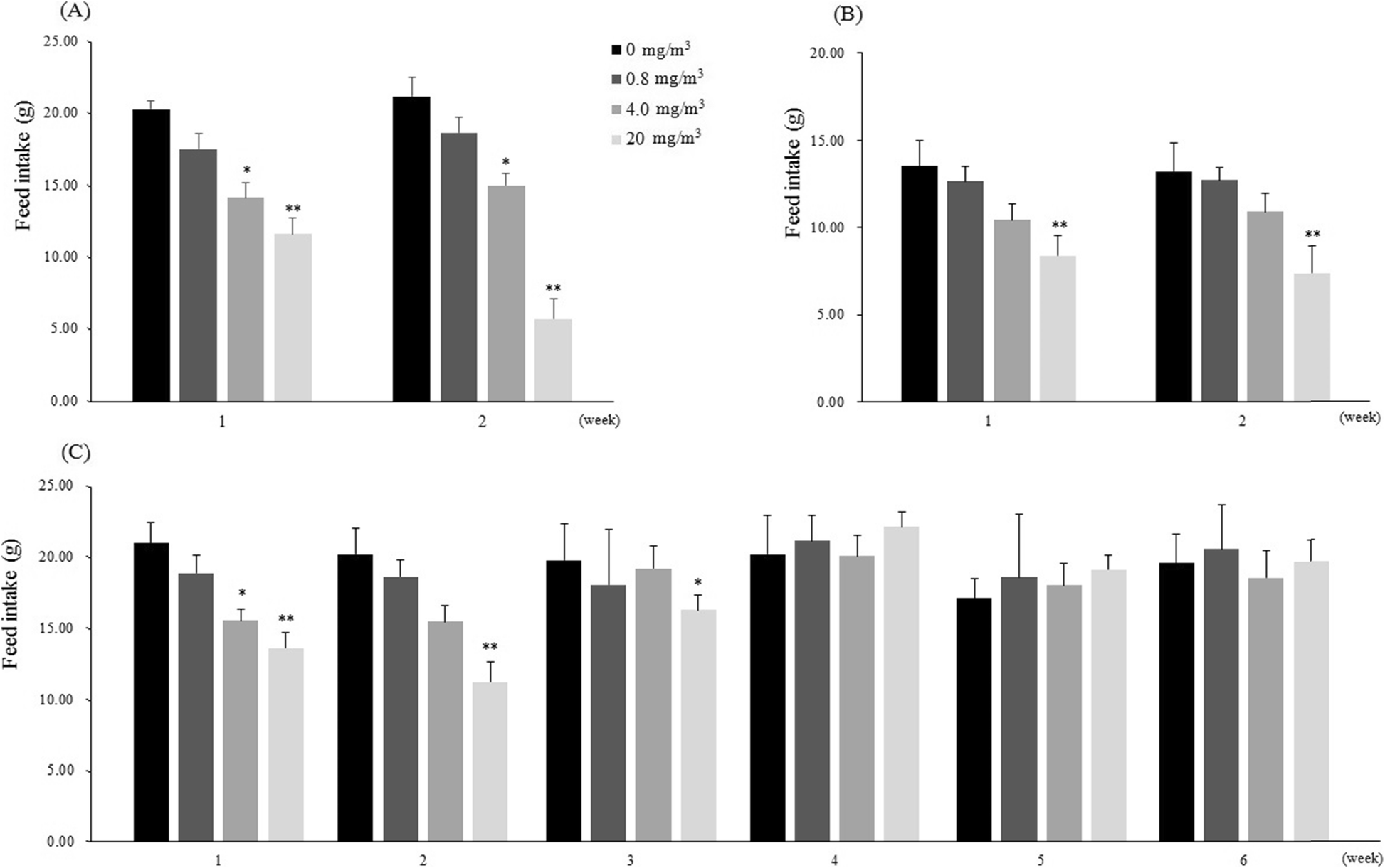
Fig. 3From: Assessment of respiratory and systemic toxicity of Benzalkonium chloride following a 14-day inhalation study in ratsChanges of feed intake in the rats exposed to BAC. Males (a) and Females (b) in the main groups, Males (c) in the recovery groupsBack to article page